Peter Baldry
{ Software Engineer }
Aug 2024 - Present
BirdiBirdi is an aerial intelligence company that builds geospatial software platforms for data visualisation, analysis and assessment.
📍 Gold Coast, Queensland, Australia (Remote)
Mar 2021 - Aug 2024 • 3 yrs 6 mnths
Accenture
Accenture is a global technology services company. As of 2024, Accenture served more than 9,000 clients, including more than 75 of the Fortune Global 100.
📍 Brisbane, Queensland, Australia
Nov 2018 - Feb 2021 • 2 yrs 4 mnths
GrabbaGrabba is a software company providing end-to-end integration of biometric identity technologies.
📍 Brisbane, Queensland, Australia
Feb 2017 - Nov 2020 • 3 yrs 10 mnths
The
University of QueenslandThe University of Queensland is one of the top public universities in Brisbane City, Australia. It ranked 47th in QS World University Rankings 2020.
📍 Brisbane, Queensland, Australia

Sport Predictor AUS uses machine learning algorithms to predict the outcome of upcoming australian sport fixtures, such as the NRL (National Rugby League).

Developed and trained an AI agent from scratch using reinforcement learning (Q-learning) to efficiently solve mazes.

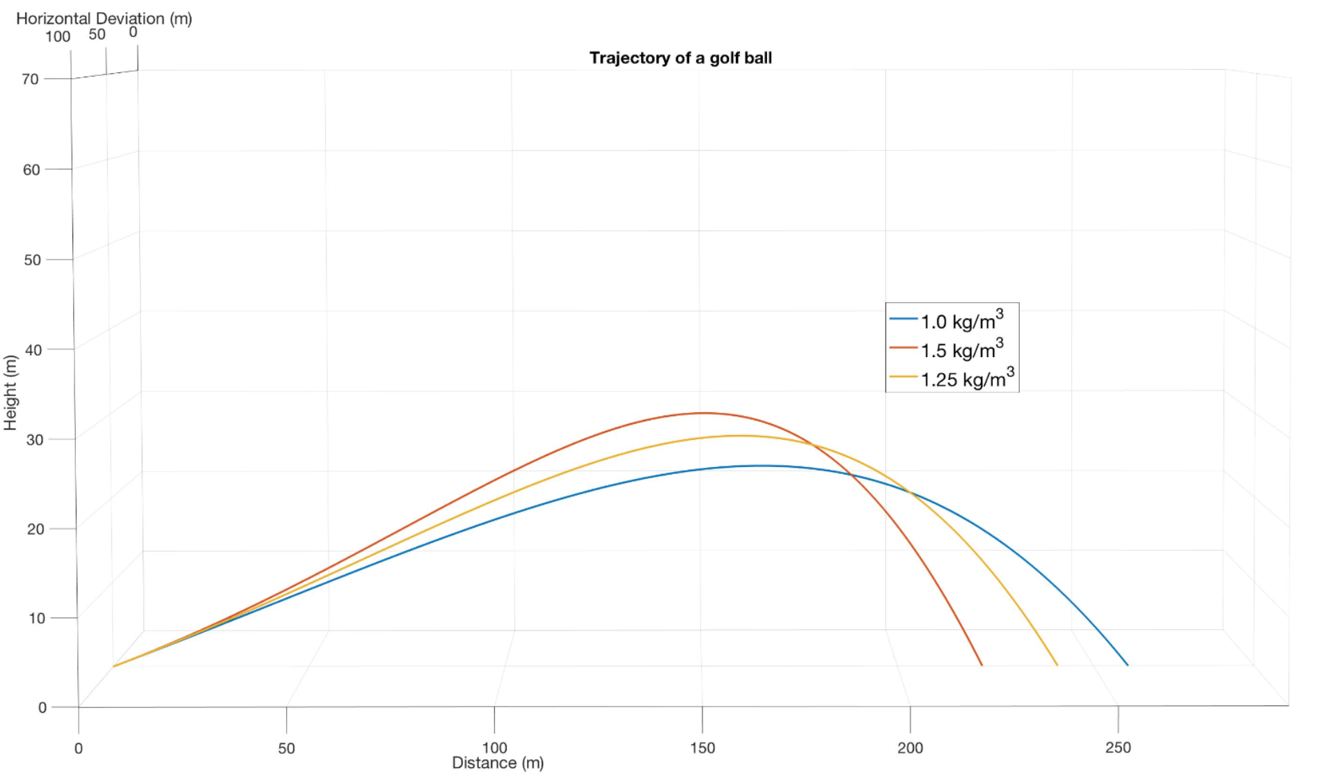
Developed a mathematical model and software to numerically simulate the flight of a golf ball based on different parameters at impact, such as air density, club speed, spin, launch angle, etc.

Developed & trained a Generative Adversarial Network (GAN) to generate realistic human faces. The trained model takes an input of random noise (pixels) and generates the face instantly.